안녕하세요 부산부동산변호사 신유경변호사입니다
부산광역시에서 확인한 최신 부산 지역 내 지역주택조합추진 현황을 게시합니다.
2023년 4월기준으로 부산광역시에서 확인한 자료입니다.
먼저, 지역주택조합의 사업진행단계에 따른 법률적분쟁가능성에 관하여 설명드리고자 합니다.
사업승인(착공), 준공 단계에 있는 조합의 경우에는 법률적 분쟁의 발생 가능성이 낮습니다.
그러나
1. 조합을 설립준비중임에도 조합을 수년간 설립하지 못하고 있는 경우에는 조합설립의 최소요건인 토지사용승낙원 80%확보 및 일부 소유권(15%) 조차 갖추어지지 않았을 가능성이 높습니다.
2. 또는 조합설립인가는 받았으나 수년간 사업승인을 받지 못하고 있는 경우에는 소유권(95%)를 확보하지 못한 경우가 대부분입니다.
위 1)의 경우에는 토지사용승낙원은 실제 계약조차 체결되지 않은 단계여서
소유권확보율이 극히 낮은 경우가 대부분이어서
만약 사업이 장기간 진행된 경우에는 고액의 추가분담금 없이 사업의 향후 실질적 진행은 어려운 단계로 판단해볼 수도 있습니다.
위 2)의 경우에는 자금부족 등으로 소유권을 확보하지 못한 경우가 대부분이어서 고액의 추가분담금이 예상되는 경우입니다.
따라서 위 1), 2)의 경우 모두 사업이 가입이후 수년간 진행되지 못하고 있다면
추진위원회 또는 조합의 자금은 부족하지만 소유권확보율은 낮아서
고액의 추가분담금(처음 약정한 금액의 2-3배가 되는 경우도 있습니다) 없이는
사업의 원활한 진행은 어려울 것으로 판단하거나 그렇지 않더라도 진행가능성이 낮다고 판단해볼 수 있습니다.
사업이 가령 원활히 진행되더라도 많은 액수의 추가분담금이 예정된 경우 추가분담금 납부 여력이 없어서 조합원 탈퇴를 고려하시는 분들도 있습니다.


구체적으로, 부산시 지역주택조합 현황은 총 101개소 입니다.
지역별 지역주택조합은 아래와 같습니다.
부산 금정구(8개): 장전역서희스타힐스 지역주택조합(사용검사), 금정더샵 지역주택조합(사업계획승인), 휴먼파크장전 지역주택조합(사업계획승인), 남산역 지역주택조합(조합설립인가), 리버파크장전 지역주택조합(조합설립인가), (가칭)두실 지역주택조합, (가칭)두실역금샘 지역주택조합, (가칭)서동 지역주택조합
부산 남구(12개): 대연마루 지역주택조합(사용검사), 부산오션힐 지역주택조합(사용검사), 문현제일 지역주택조합(사용검사예정), 용호동 지역주택조합(조합설립), 문현마루 지역주택조합(조합설립), 부산지게골 지역주택조합(조합설립), (가칭)부산문현 지역주택조합, (가칭)용당 지역주택조합, (가칭)문현가온 지역주택조합, (가칭)우암우리 지역주택조합, (가칭)문현마린시티 지역주택조합, (가칭) 엘도라도 지역주택조합
부산 동래구(13개): 동래온천동 지역주택조합(사용검사), 사직아시아드 지역주택조합(사용검사), 동래SK지 지역주택조합(사용검사), 사직 지역주택조합(사용검사예정), 수안 지역주택조합(사업승인), 온천장 지역주택조합(조합설립), (가칭)사직동 지역주택조합, (가칭)명장동 지역주택조합, (가칭)명륜동 지역주택조합, (가칭)온천동미남역 지역주택조합, (가칭)온천파크 지역주택조합, (가칭)제2온천파크 지역주택조합, (가칭)온천2 지역주택조합
부산 부산진구(17개): 범천3구역 지역주택조합(사용검사), 부산부암 지역주택조합(사용검사예정), 서면 지역주택조합(사용검사예정), 메디컬카운티 지역주택조합(사용검사예정), 전포5구역 지역주택조합(조합설립), 부산당감동 지역주택조합(조합설립), 초읍성지곡 지역주택조합(조합설립), 전포1동 지역주택조합(조합설립), (가칭)부산진 지역주택조합(조합설립), (가칭)가야 지역주택조합, (가칭)초읍새터 지역주택조합, (가칭)당감로얄 지역주택조합, (가칭)범천1 지역주택조합, (가칭)가야센트럴 지역주택조합, (가칭)부산진가야 지역주택조합, (가칭)부일 지역주택조합, (가칭)서면파크 지역주택조합
부산 북구(6개): 구포7구역 지역주택조합(사업승인), (가칭)부산구포 지역주택조합설립추진위원회, (가칭)구포강변 지역주택조합설립추진위원회, 구포강변뷰 지역주택조합(조합설립), (가칭)구포백양 지역주택조합설립추진위원회, (가칭)구포가람 지역주택조합추진위원회
부산 사상구(6개): 사상 지역주택조합(사용검사), 감전동지역주택조합 추진위원회, (가칭)감전동 지역주택조합 추진위원회, (가칭)부산삼락 지역주택조합추진위원회 , (가칭)사상역괘법동 지역주택조합추진위원회, (가칭)사상역괘법동 지역주택조합2추진위원회
부산 사하구(10개): 괴정지구 지역주택조합(사용검사), 사하괴정 지역주택조합(사용검사), 신평 지역주택조합(사용검사), 당리승학 지역주택조합(사업승인), 괴정 지역주택조합(사용승인), 괴정솔밭 지역주택조합(조합설립), 장림 지역주택조합(조합설립), (가칭)다대오션뷰 지역주택조합, (가칭)괴정창신 지역주택조합, (가칭)괴정동 지역주택조합
부산 서구(8개): 암남 지역주택조합(착공신고), 부산송도 지역주택조합(착공신고), 암남동 지역주택조합(조합설립), 부산송도센텀 지역주택조합(조합설립), (가칭)송도오션파크 지역주택조합(조합설립), (가칭)토성역 지역주택조합, (가칭)서대신동 지역주택조합, (가칭)해돋이 지역주택조합
부산 수영구(5개): 센텀민락 지역주택조합(사용검사), 광안 지역주택조합(사업승인), 수영구망미동 지역주택조합(조합설립), (가칭)광안1동 지역주택조합, (가칭)민락센텀 지역주택조합
부산 연제구(9개): 거제동 지역주택조합(사용검사), 부산연산 지역주택조합(착공신고), 연산 지역주택조합(착공신고), 거제2지역주택조합(조합설립), 연산우리 지역주택조합(조합설립), (가칭)연산6 지역주택조합, 거제이엘 지역주택조합, (가칭)토곡우리 지역주택조합, (가칭)연미개발 지역주택조합, (가칭)연산8동 지역주택조합
부산 영도구(4개): 청학1동 지역주택조합(조합설립), 동삼 지역주택조합(조합설립), 청학 지역주택조합(조합설립), (가칭)봉래 지역주택조합
부산 해운대구(3개): 동부산지역주택조합(조합설립), (가칭)센텀우동 지역주택조합, (가칭)해운대우동1 지역주택조합
조합원모집신고를 마친지 약 2~3년이 경과하였음에도 조합설립인가조차 이루어지지 못한 조합
또는 조합설립인가를 받았으나 수년간 사업계획승인을 받지 못한 조합들에 대해
조합가입계약의 취소, 탈퇴를 구하는 내용의 다수의 소송이 진행 되고 있습니다.
다수의 사건에서 분담금 전액 반환으로 승소하였고,
해당 사례는 아래 게시글에서 확인이 가능합니다.
조합과의 합의를 통해 전액반환받은사례
http://www.busanyk.com/22/?q=YToyOntzOjEyOiJrZXl3b3JkX3R5cGUiO3M6MzoiYWxsIjtzOjc6ImtleXdvcmQiO3M6MTg6IuyngOyXreyjvO2DneyhsO2VqSI7fQ%3D%3D&bmode=view&idx=13827581&t=board
소송을 통해 전액반환받은 사례http://www.busanyk.com/22/?q=YToyOntzOjEyOiJrZXl3b3JkX3R5cGUiO3M6MzoiYWxsIjtzOjc6ImtleXdvcmQiO3M6MTg6IuyngOyXreyjvO2DneyhsO2VqSI7fQ%3D%3D&bmode=view&idx=12901704&t=board
더 궁금하신 점이 있으신 경우
전화상담(010-3186-7656) 또는 온라인상담게시판을 이용해주세요
감사합니다
안녕하세요 부산부동산변호사 신유경변호사입니다
부산광역시에서 확인한 최신 부산 지역 내 지역주택조합추진 현황을 게시합니다.
2023년 4월기준으로 부산광역시에서 확인한 자료입니다.
먼저, 지역주택조합의 사업진행단계에 따른 법률적분쟁가능성에 관하여 설명드리고자 합니다.
사업승인(착공), 준공 단계에 있는 조합의 경우에는 법률적 분쟁의 발생 가능성이 낮습니다.
그러나
1. 조합을 설립준비중임에도 조합을 수년간 설립하지 못하고 있는 경우에는 조합설립의 최소요건인 토지사용승낙원 80%확보 및 일부 소유권(15%) 조차 갖추어지지 않았을 가능성이 높습니다.
2. 또는 조합설립인가는 받았으나 수년간 사업승인을 받지 못하고 있는 경우에는 소유권(95%)를 확보하지 못한 경우가 대부분입니다.
위 1)의 경우에는 토지사용승낙원은 실제 계약조차 체결되지 않은 단계여서
소유권확보율이 극히 낮은 경우가 대부분이어서
만약 사업이 장기간 진행된 경우에는 고액의 추가분담금 없이 사업의 향후 실질적 진행은 어려운 단계로 판단해볼 수도 있습니다.
위 2)의 경우에는 자금부족 등으로 소유권을 확보하지 못한 경우가 대부분이어서 고액의 추가분담금이 예상되는 경우입니다.
따라서 위 1), 2)의 경우 모두 사업이 가입이후 수년간 진행되지 못하고 있다면
추진위원회 또는 조합의 자금은 부족하지만 소유권확보율은 낮아서
고액의 추가분담금(처음 약정한 금액의 2-3배가 되는 경우도 있습니다) 없이는
사업의 원활한 진행은 어려울 것으로 판단하거나 그렇지 않더라도 진행가능성이 낮다고 판단해볼 수 있습니다.
사업이 가령 원활히 진행되더라도 많은 액수의 추가분담금이 예정된 경우 추가분담금 납부 여력이 없어서 조합원 탈퇴를 고려하시는 분들도 있습니다.
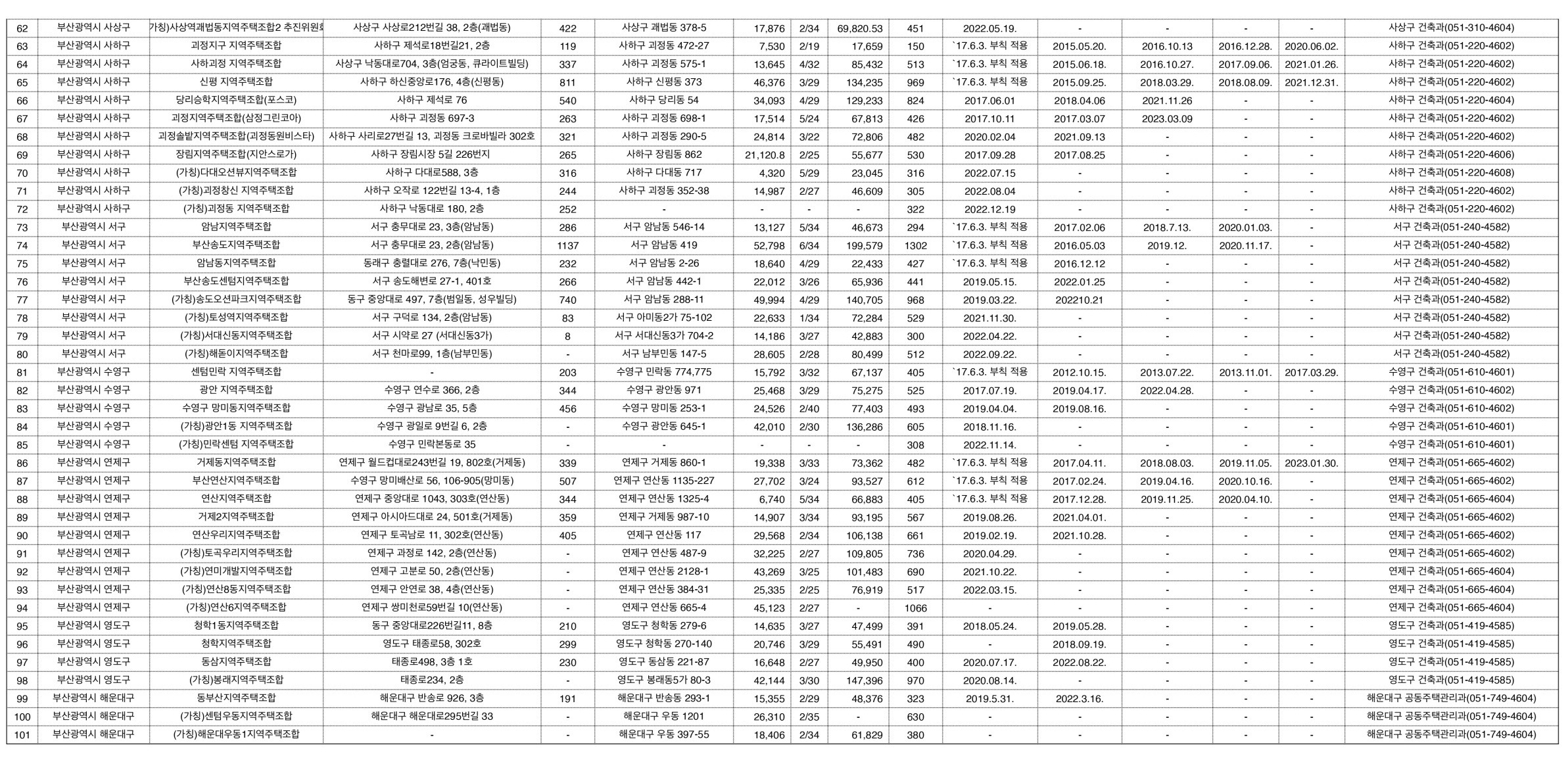
구체적으로, 부산시 지역주택조합 현황은 총 101개소 입니다.
지역별 지역주택조합은 아래와 같습니다.
부산 금정구(8개): 장전역서희스타힐스 지역주택조합(사용검사), 금정더샵 지역주택조합(사업계획승인), 휴먼파크장전 지역주택조합(사업계획승인), 남산역 지역주택조합(조합설립인가), 리버파크장전 지역주택조합(조합설립인가), (가칭)두실 지역주택조합, (가칭)두실역금샘 지역주택조합, (가칭)서동 지역주택조합
부산 남구(12개): 대연마루 지역주택조합(사용검사), 부산오션힐 지역주택조합(사용검사), 문현제일 지역주택조합(사용검사예정), 용호동 지역주택조합(조합설립), 문현마루 지역주택조합(조합설립), 부산지게골 지역주택조합(조합설립), (가칭)부산문현 지역주택조합, (가칭)용당 지역주택조합, (가칭)문현가온 지역주택조합, (가칭)우암우리 지역주택조합, (가칭)문현마린시티 지역주택조합, (가칭) 엘도라도 지역주택조합
부산 동래구(13개): 동래온천동 지역주택조합(사용검사), 사직아시아드 지역주택조합(사용검사), 동래SK지 지역주택조합(사용검사), 사직 지역주택조합(사용검사예정), 수안 지역주택조합(사업승인), 온천장 지역주택조합(조합설립), (가칭)사직동 지역주택조합, (가칭)명장동 지역주택조합, (가칭)명륜동 지역주택조합, (가칭)온천동미남역 지역주택조합, (가칭)온천파크 지역주택조합, (가칭)제2온천파크 지역주택조합, (가칭)온천2 지역주택조합
부산 부산진구(17개): 범천3구역 지역주택조합(사용검사), 부산부암 지역주택조합(사용검사예정), 서면 지역주택조합(사용검사예정), 메디컬카운티 지역주택조합(사용검사예정), 전포5구역 지역주택조합(조합설립), 부산당감동 지역주택조합(조합설립), 초읍성지곡 지역주택조합(조합설립), 전포1동 지역주택조합(조합설립), (가칭)부산진 지역주택조합(조합설립), (가칭)가야 지역주택조합, (가칭)초읍새터 지역주택조합, (가칭)당감로얄 지역주택조합, (가칭)범천1 지역주택조합, (가칭)가야센트럴 지역주택조합, (가칭)부산진가야 지역주택조합, (가칭)부일 지역주택조합, (가칭)서면파크 지역주택조합
부산 북구(6개): 구포7구역 지역주택조합(사업승인), (가칭)부산구포 지역주택조합설립추진위원회, (가칭)구포강변 지역주택조합설립추진위원회, 구포강변뷰 지역주택조합(조합설립), (가칭)구포백양 지역주택조합설립추진위원회, (가칭)구포가람 지역주택조합추진위원회
부산 사상구(6개): 사상 지역주택조합(사용검사), 감전동지역주택조합 추진위원회, (가칭)감전동 지역주택조합 추진위원회, (가칭)부산삼락 지역주택조합추진위원회 , (가칭)사상역괘법동 지역주택조합추진위원회, (가칭)사상역괘법동 지역주택조합2추진위원회
부산 사하구(10개): 괴정지구 지역주택조합(사용검사), 사하괴정 지역주택조합(사용검사), 신평 지역주택조합(사용검사), 당리승학 지역주택조합(사업승인), 괴정 지역주택조합(사용승인), 괴정솔밭 지역주택조합(조합설립), 장림 지역주택조합(조합설립), (가칭)다대오션뷰 지역주택조합, (가칭)괴정창신 지역주택조합, (가칭)괴정동 지역주택조합
부산 서구(8개): 암남 지역주택조합(착공신고), 부산송도 지역주택조합(착공신고), 암남동 지역주택조합(조합설립), 부산송도센텀 지역주택조합(조합설립), (가칭)송도오션파크 지역주택조합(조합설립), (가칭)토성역 지역주택조합, (가칭)서대신동 지역주택조합, (가칭)해돋이 지역주택조합
부산 수영구(5개): 센텀민락 지역주택조합(사용검사), 광안 지역주택조합(사업승인), 수영구망미동 지역주택조합(조합설립), (가칭)광안1동 지역주택조합, (가칭)민락센텀 지역주택조합
부산 연제구(9개): 거제동 지역주택조합(사용검사), 부산연산 지역주택조합(착공신고), 연산 지역주택조합(착공신고), 거제2지역주택조합(조합설립), 연산우리 지역주택조합(조합설립), (가칭)연산6 지역주택조합, 거제이엘 지역주택조합, (가칭)토곡우리 지역주택조합, (가칭)연미개발 지역주택조합, (가칭)연산8동 지역주택조합
부산 영도구(4개): 청학1동 지역주택조합(조합설립), 동삼 지역주택조합(조합설립), 청학 지역주택조합(조합설립), (가칭)봉래 지역주택조합
부산 해운대구(3개): 동부산지역주택조합(조합설립), (가칭)센텀우동 지역주택조합, (가칭)해운대우동1 지역주택조합
조합원모집신고를 마친지 약 2~3년이 경과하였음에도 조합설립인가조차 이루어지지 못한 조합
또는 조합설립인가를 받았으나 수년간 사업계획승인을 받지 못한 조합들에 대해
조합가입계약의 취소, 탈퇴를 구하는 내용의 다수의 소송이 진행 되고 있습니다.
다수의 사건에서 분담금 전액 반환으로 승소하였고,
해당 사례는 아래 게시글에서 확인이 가능합니다.
조합과의 합의를 통해 전액반환받은사례
http://www.busanyk.com/22/?q=YToyOntzOjEyOiJrZXl3b3JkX3R5cGUiO3M6MzoiYWxsIjtzOjc6ImtleXdvcmQiO3M6MTg6IuyngOyXreyjvO2DneyhsO2VqSI7fQ%3D%3D&bmode=view&idx=13827581&t=board
소송을 통해 전액반환받은 사례http://www.busanyk.com/22/?q=YToyOntzOjEyOiJrZXl3b3JkX3R5cGUiO3M6MzoiYWxsIjtzOjc6ImtleXdvcmQiO3M6MTg6IuyngOyXreyjvO2DneyhsO2VqSI7fQ%3D%3D&bmode=view&idx=12901704&t=board
더 궁금하신 점이 있으신 경우
전화상담(010-3186-7656) 또는 온라인상담게시판을 이용해주세요
감사합니다